영상일기 / 2025 08 6 - 1 / 1.공지상황1927경부터~1993년경 홍류동 고운 최치원 중시조님유적 상황 / 2.매일 영상일기 가사 사진 / 도천 최평열
1. 공지상항: 홍류동 학사당 농산정 가야서당 학사대 등 고운 최치원선생 유적관련
[검색하기, 영상일기 콕 누르세요] 영상일기 / 2024 02 10-1 / 1. 공지상항 1930경부터~1993년경 상항 / 2. 매일 영상일기 가사 등 사진 / 도천 최평열학사당·농산정·가야서당 방道泉 최평열2024-02-10 19:13댓글 2
2. 매일 영상일기 :
오늘사진 글 / 가야산 해인사 학사대 전나무와 대문이 있고(절에서 잘못해 없어젔다) 홍류동 고운 최선생 유적 학사당 (영정)영각에서는 매년 한식일 학사당유계(1936년경~1996년경)가 향례행사 하던는 곳, 농산정 정자은 펑열의 증조부 최증기 조부 최정순 부자와 유림이 복원하여 평열이 문화재등록해서 오늘에 이르고 매년(음 4월 17일) 농산정유계가 행사하다 그만하고
경상남도 합천군 가야면 구원리 산1번지(홍류동천) 농산정 정자 1989년도 신청하여 1990년에 경상남도 문화재172호 소유자(관리자) 최평열 등록 되어있고 합천군 가야면 구원리 산2-1번지 학사당 영각이 있고 같은면 구원리 609번지 가야서당(부속건물 및 덕원정) 있 다.
농산정 정자에서 고운 최선생을 추모행사 가야서당 학사대 신도비 유허비 학사당 제사가 있다,
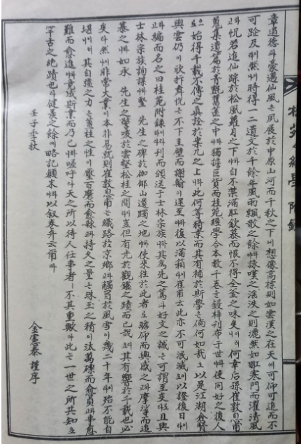
1200년전에 최치원 선생을 추모하여 오다가 조선시대 철패되었던 것이 나의 증조부이신 매은공 종기와 그의 아들인 나의 조부님이신 석천공 정순(양대 한의원)에서 1927~1950년경 농산정 정자 복원하고 학사당 영각은 본래는 농산정 서편에 있던 것을 동편 현제의 학사당 영각을 이건하였다고 기록이있고, 가야서당 1950년경에 건축 하여 그의 아들인 나의 선친이신 춘강공 주현에 이어 나에께 까지 4대가 이어온 것인데,나의 선친 주현 1992년도에 사망하자 권원없는 무도한 자들이 모여 자기들 소유인양 주장하였으나, 사필귀정 확정되었는데도
그 분쟁으로 인하여 행사는 1996년경 부터 그들방해로 인해 중단 되고 건물은 허물고 있는데도 조작하고 방해한다, 그에 대한 대응보다. 우선 가정안정 부인건강 등이 우선이 아닌가 생각한다.
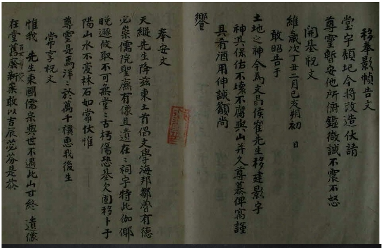
일찍이 일어나 오늘도 조상님전을 방문 중시조 최치원선생님전 상황 농산정 이란 석벽제시 글 따서 농산정이라 하였다고 전하고 있고 그 건물이 흔적만 남아있었던 정자인데 나 최평열의 증조부이신 최종기와 조부이신 최정순 부자가 지방 유림(농산정유계)이 협조하여 복원한 것으로 기록이 남아있고 그 증거는 같은 면애 산 권병석 문화원장이 사실 그대로 합천문화원 책에 기록하였는데 그 후임들이 허위로 왜곡 한 것이 너무많다, 사진에 찍어올려 본다.
나의 조부가 1968년경에 사망하시고 부 최주현 종조부 최효순 신도비 1971년경 세우고 1986년경 유허비 세우고 그무렵 학사당관리운영위원회 설치하고 홍류동 유적 농산정 학사당 신도비 유허비 덕원정(청원정) 및 부속건물(가야서당 주택 등) 이 무렵 최규하 대통령 도움이 있었다고 전해 젖다.
중시조이신 문창후 고운 최선생 경원필경 영정 사진이 해인사박물관에 도 있고 나의 4대조 위폐전전에 이 역사가 오래오래 보존하고 사실그대로 원상복귀 되어 주길 기도하고 가족 무사행복하길 기도했다.
과거 농산정 마루고침은 문화재등록전 이고 등 사진 찍어 올리고,
나대자연농원 마당에 꽃들 봉숭화꽃 능소화꽃 키다리국화꽃 등이 있고 연못주변 느티나무 팽나무숲 표고버섯장 경비견 개 밥주고 텃밭에 고추 등 돌라보고. ~
오늘사진 글































































아래책은 영정 부터 허위 왜곡한 글


























































스님들도 해인사 문창후 고운 최치원선생 유적인줄 모르나 ? 학사대 전나무 대문 훼손하다.




































































